發布于:2019/12/10 9:01:25 點擊量:761
0 前言
閥籠式調節閥在自動化控制過程中起著關鍵的作用,它是工業生產控制中的重要部件,由一系列的運動元件構成,調節閥的運動元件按照職能的不同分為執行部件和閥門部件兩部分。
調節閥工作時,閥瓣沿著套筒安裝軸線上下運動遮擋窗口而積,從而改變流通窗口而積。流體從下管道流入,經過套筒窗口,從上管道流出。由于閥瓣的行程和流出體積之間不同的函數關系,因此形成了各種流量特性。因此,調節閥工作過程中為實現特定流量特性要求和流體進出口壓力調節功能,需要設計符合要求精度的閥籠式調節閥套筒結構團。
國內的調節閥技術發展起步較晚,技術人員用于設計的經驗公式與實驗結果有較大的誤差團。傳統的調節閥設計過程中缺少新技術的應用,也缺少在實際工況下的模擬仿真過程,故本文作者從閥籠式調節閥流量特性的孔板流量計原理和流體力學的連續性方程推導調節閥橫截而積的設計公式。為滿足在不同開度下均符合固有流量特性曲線,完成套筒的窗口形狀設計,以4條固有流量特性曲線(直線型流量特性、等百分比型流量特性、拋物線型流量特性和快開型流量特性)為例,并設置進出口壓力差,通過Solid-Works軟件建模與FLUENT軟件基于CFD (Computa-tional Fluid Dynamics)仿真模擬,得到所設計套筒的工作流量特性,分析套筒內部流場和邊界效應對不同開度下實際流量特性的影響[Cs7按照文中的設計方法所得的閥籠式調節閥套筒具有以下優點:可設計實現特定要求的套筒,通用性強;經仿真驗證套筒的工作流量特性在誤差范圍內,能滿足實際工作要求,可靠性強;運用CFD仿真軟件仿真實驗環境,效率高。
1 固有流量特性及套筒窗口計算
1. 1 調節閥的流量特性
調節閥的流量特性,是指調節閥在某一行程下流量口與全開時的流量口max之比的相對流量(Q/Qmax )與某一行程l與全開行程l的相對開度(l/L)之間的函數關系,表示為Q/Qmax =f (l/L)。相對開度是利用執行器驅動閥桿控制閥瓣與套筒沿套筒軸向的相對位置,改變套筒節流而積大小實現控制閥流量的調節。流量特性的研究是除總體結構、密封和壓力自平衡研究外的一項關鍵。然而在實際工況中,由于多種因素的影響,閥門前后壓降不穩定將導致介質流量不斷變化,為了便于分析,在設計過程中通常設定閥門壓降恒定,再根據實際工況進行修正,兩者分別稱為固有流量特性和工作流量特性圖。其中固有流量特性根據應用場合不同主要分為直線、等百分比(對數)、拋物線及快開特性4種因,如圖1所示,通過相對流量和相對位移之間不同數學表達式(1)一式(4)分別進行計算,其中K是常

圖1 4種固有流量特性曲線
1.2套筒橫截面積公式推導
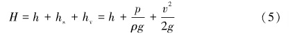
介質流經調節閥時橫截而的變化產生閥前后的壓差,從而改變通過調節閥的流量。介質通過調節閥時,產生局部壓力損失。根據流體力學中的伯努利方程,當流體壓力發生變化,各壓頭之間互相轉化,流體的壓頭主要有位置壓頭、靜壓頭和速度壓頭。節流閥的總壓頭H為位置壓頭h、靜壓頭h和速度壓頭h三者之和。其中P為流體的壓力,P為流體密度,v為流速。即公式(5)

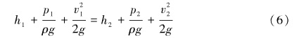
伯努利方程中理想流體(不存在摩擦阻力)的總能量不變,即位置壓頭、靜壓頭、速度壓頭的和總是一個固定值。用下標1, 2分別表示兩處流體位置,P為流體的壓力,用式(6)表達

當流體介質流經調節閥時,其流速和壓力都會發生變化,流速在調節閥閥口處達到峰值后的靜壓力下降十分顯著。在流經調節閥后,靜壓力不能完全恢復到閥前的壓力,這是因為介質在通過調節閥時,流體內部的相互摩擦導致部分動能以熱能的形式散失,導致介質溫度上升。
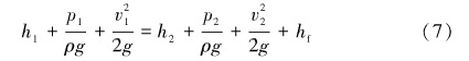
在實際運行過程中,流體流經管路時產生能量損失h。根據能量守恒,必須把這部分能量計入。在實際工況下,式(7)為完整形式的流體伯努利方程

因為管道是水平安裝的,因此位置壓頭都相等,即h1 =h2,將公式化簡得式(8)

則經過調節閥時,流體的動能損失可用式(9)表示

假設能量只在各個水頭之間相互轉換,且沒有能量損失,從而推導出了式(10)

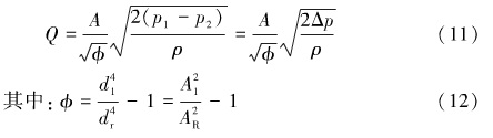
由流體流動的連續性方程流量口等于流通而積和流速的乘積可得式(11)

上式為調節閥的流量方程。計算過程中,d是孔徑,A是套筒全開時的流通而積,A。是過流而積,常以cm為單位,閥門前后的壓力差常以100 kP。為單位,流體密度以g/c時為單位,所以常用式(13)來代替

綜上所述,調節閥是通過改變閥的開度來改變閥的流通而積,不同的開度下有不同的開度阻力,以完成流量特性的變化。伯努利方程是理想情況下能量不變的守恒方程式,連續性方程是根據截而和流速的乘積相等的方程,三者與任一流量特性曲線求解即可得某截而的而積。
流量系數K、是指調節閥通過密度為p = 1 kg幾的介質、壓力損失為105 Pa而損失的流量,它的單位是m3/h。流量系數與安裝的調節閥的管路系統無關,僅與閥門的結構和開度有關,用方程(14)表示

與式(13)化簡聯立,開度時的理論流通而積A,可得調節閥套筒在任一見式(15)

1. 3套筒橫截面積計算
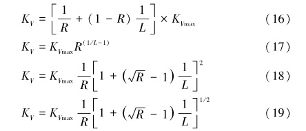
套筒閥的工作原理是通過閥芯部件(閥瓣和套筒窗口)的相對位移達到控制閥門流量的目的。調節閥的開度最大時,流量系數和流量達到最大,分別用Kvmax和qvmax表示。R為調節閥的可調比。直線、等百分比(對數)、拋物線及快開4種流量特性,對數學表達式(1)一式(4)分別代入邊界條件為:l=0時,qv=qvmax; l=L.時,qv=qvmax,分別得到流量特性方程式(16)一式(19),分別與式(15)聯立求解
求得套筒的窗口數據。

建立閥芯行程30 mm的套筒。劃分3 mm為一個計算值點,30 mm的閥芯行程被均勻地分成10份,在各個計算值點之間采用梯形而積的計算方法,并利用倒角、圓弧與各個窗口寬度兩端的連接以校正和擬合設計曲線。最終設計得到的形狀通過CAD ( Com-puter Aided Design)軟件的massprop命令驗證窗口橫截而積的精度,使設計窗口的而積與通過理論計算得到的而積之間的誤差小于0. 1%0。4種流量特性曲線的窗口形狀如圖2一圖5所示。

套筒的窗口個數一般為偶數,對稱分布,有利于流體介質在閥籠式套筒中間互相沖擊消耗靜壓能量,降低噪聲,避免振動。通過計算公式(巧)一式n 9>,窗口數據計算結果如表t所示。因此,采取不同值的可調比R即控制最大流量和最小流量之比
的參數得以實現。
由于在小開度時閥門內部流阻系數大,調節性能變差,故在設計窗口形狀時針對小開度時部分舍棄流量特性,優化在30%一80%的流量調節性能,提高調節閥的實際使用性能。

2 基于FLUENT軟件的仿真模擬
2. 1 套筒模型的建立
套筒閥適合閥前后壓差大和液壓出現閃蒸或空化的場合,穩定性好,噪聲低。流體介質從閥體的進口流道流入,通過籠式套筒的底部進入套筒內,再通過籠式套筒的窗口進入出口流道。
通過SolidWorks軟件建立了符合直線型、等百分比型、拋物線型和快開型流量特性的4個套筒,每個套筒的窗口個數為4個,均勻分布于公稱直徑為100mm的圓壁,采用線切割加工窗口形狀。
閥門的理想流量特性是在維持閥門兩端壓差不變
(卻△p= 0. 1 MPa)的環境中得到。小開度時因內部結構產生的較大阻力對理想流量特性的影響,為驗證工作流量特性隨著閥門開度的變化是否滿足設計要求,檢測偏離程度的影響,采用FLUENT軟件仿真驗證套筒窗口形狀設計。
2. 2 套筒網格劃分
套筒中流體介質的三維立體模型導入項目管理區Meshing,將物理模型設定為計算流體動力學CFD模型,求解器為FLUENT,關聯度設置為100完全關聯,關聯中心設置為Fine,網格劃分方法為Cutcell o圖6為劃分網格后的套筒。
圖6 網格劃分后的套筒
2. 3參數設置及求解結果
湍流模型假設流動為完全湍流,分子瓢性可以忽略,因此選用雙方程模型的κ一ε模型。操作壓力默認為一個大氣壓,閥前后壓差設置為0. 1 MPa,與設計公式(13)一致。若要設計特定壓差的符合實際工況要求的套筒,可在公式(13)中代入前后壓差值,在仿真環境中分別填入前后壓差值,計算可得符合工廠生產使用的特殊要求套筒。
3 仿真結果分析
FLUENT仿真模擬后得如圖7一圖10所示相對流量系數K、與相對開度llL的關系,相對流量系數Kv的理論值由公式(16)一式(19}計算得到,與經過FLUENT軟件迭代運算得到的仿真值相比,在30%80%區間內總體上吻合性較好。
在小開度時調節閥內部結構對流場的影響較明顯,因此在設計時應將窗口形狀適當改變以減小流阻的影響、提高使用壽命,而仿真過程簡化了一些復雜結構,使流阻減小,故其不符合流量特性曲線。設計大開度時為增大流通能力,窗口適當增大,故少量偏離流量特性曲線的計算值。調節閥套筒使用過程中,適用范圍為30% } 80%開度區間,故設計符合要求。
圖11、圖12分別是拋物線型流量特性的套筒窗口在40%和80%開度時出口處的速度分布云圖。可知:40%開度時比80%開度時的速度分布更均勻,而在80%開度時,出口下方左右兩側拐角處及下側流道拐角處流速近似0,即此處是調節閥工作時介質流動的閉死區域。

4結論
基于調節閥套筒而積與流量公式理論,提出一種經三維建模和仿真模擬建立套筒窗口模型的設計方法。根據流量特性的不同要求,設計了滿足4種固有流量特性曲線的套筒。與現存的設計方法相比,該方法有如下特點:
(1)設計周期短,計算精準度高。避免傳統設計經驗公式的粗略,套筒窗口形狀的設計結果更適應實際工況的工作環境。
(2)仿真結果與理論結果大致擬合,達到實驗目的。調節閥開度為30%~80%在仿真軟件中的結果更接近理論計算值,小開度時因設計時避免調節閥內部流阻過大而增大流通而積,因此與理論計算值有偏差,可在這一區間范圍內進行再次設計,以進一步減小誤差。
(3)按照該設計方法,可根據實際工況要求,設定前后壓差值代入式(13),并與需要達到的流量特性方程聯立,求解得符合特定要求的套筒。該種套筒的流動性能能得到針對性的提高,具有一定的工程應用價價值。
本文鏈接:http://www.0wulo.cn/news/detail/20191210090125.html
版權所有 © 自力式壓力調節閥-氣動調節閥-電動調節閥-氮封閥廠家 浙ICP備18052799號-2